Campeón Nacional 2017 – Un ejemplo de Gestión en GMC

ejemplo de gestión Global
Dirigir una empresa por primera vez no es una tarea fácil. Desde Global Management Challenge somos conscientes de la importancia de la experiencia para tomar las decisiones acertadas en cada momento y queremos contribuir para que obtengas una buena experiencia desde el primer minuto.

Para que puedas aprender rápido, te traemos un ejemplo de gestión del equipo “Paellers” que se convirtió en Campeón Nacional en el año 2017. Tres alumnos de la Universidad Politécnica de Valencia que alcanzaron el primer puesto en la final nacional y representaron a España en la Internacional de Doha.



Lo que vas a ver a continuación es un ejemplo de gestión en GMC, con su análisis y toma de decisiones basado en su experiencia y la competitividad en su mercado. Te adelantamos que decisiones iguales no obtendrán resultados iguales.

Intentar replicar las decisiones sin entender los motivos por los que se toman puede llevarte a perder millones de euros en la simulación.

Análisis de la situación actual

Tras analizar una información muy similar a la que tienes de tu empresa, el equipo Paellers estudió las diferentes áreas para tomar las mejores decisiones posibles.

Situación financiera de la empresa

Cuenta con cerca de 2.000.000€ en efectivo y equivalentes, de los cuales 1.150.000 están invertidos con un interés del 1% anual. Generan poco más de 10.000€ al año en una empresa con una facturación superior a los 5 millones. Equivale a un 0,2% de la facturación ¿Puedes darle un uso mejor a ese dinero?

El marketing

Análisis del marketing mix de la empresa:

La inversión en publicidad es de 75.000€ por trimestre, más focalizada en el medio plazo (corporativa) que en la venta de los productos actualmente.

Ofreces productos de bajo valor añadido con valoraciones de ** o *** sobre un máximo de ***** (cinco estrellas), se les puede dar una vuelta mediante inversión en I+D, mayor dedicación (tiempos de montaje) y/o mayor cantidad de Materias Primas Premium.

Tu red comercial es más bien escasa, y, aunque no esté mal, no especialmente bien pagada, teniendo en cuenta que cada agente (empresa agente o particular) o distribuidor debe contar con una estructura, gastos administrativos 110.000€ entre 4 agentes entre 3 meses implica un ingreso mensual medio de 9.200€ para cubrir todos los gastos derivados de su trabajo y motivarles a generar más ventas.

Sobre el precio, la disparidad existente entre los diferentes productos hace que unos sean sensiblemente más atractivos que otros, es obligatorio realizar un análisis de costes para conocer cuanto gano con cada venta ¿Cuánto te cuestan las materias primas, el mecanizado, los salarios de todos los trabajadores?

Operaciones y RRHH

Sobre el mecanizado, la empresa está trabajando a más del 90% de su capacidad máxima a dos turnos. Esto le permite tener una cierta flexibilidad, aunque con unos costes de mecanizado que habrá que analizar. Cualquier decisión de incrementar las ventas de la empresa tendrá una implicación directa en el número de máquinas o la decisión de subcontratar parte de la producción.

Sobre el personal de montaje, trabajan al 83% de su capacidad aproximadamente, con una cierta flexibilidad para varias la producción y parece que con una baja rotación actualmente.

1 de 2







La primera decisión de Paellers

En la primera decisión se volcaron en dar un vuelco a la generación de demanda, con una importante inversión en publicidad a medio plazo y un incremento de la red comercial (dos decisiones que tardarán 1 trimestre en empezar a surtir efectos). Una subida de la I+D para obtener mejoras en los productos, que pasa de 55.000€ a 95.000€ en el trimestre.

A nivel operativo y de recursos humanos una decisión de expansión como la tomada requiere tener la capacidad de producir para cubrir la previsible demanda, puede verse la contratación de 8 trabajadores, la subida de salarios para garantizar la atracción de talento, o la subcontratación de miles de unidades. Para hacer hueco a las nuevas contrataciones se decide ampliar la fábrica con toda la tierra disponible posible. También se toma la decisión de comprar materia prima con antelación para beneficiarse de los bajos precios a 3 meses.

Desde el punto de vista financiero se retira un millón de euros de inversión por su baja rentabilidad.

Todas estas decisiones llevan a la empresa a perder cerca de 200.000 euros en el primer trimestre, pese a una subida de la facturación de 500.000 euros. Crecer puede resultar caro.

1 de 2







La tercera decisión, liderando el mercado

Las decisiones que el equipo ha ido tomando obtienen resultados, la facturación se ha disparado a los tres millones de euros, sin embargo, los precios bajos del mercado obligan a tener márgenes de beneficio muy reducidos.

El equipo decide mantener una apuesta con un gasto de marketing elevado, que obliga a la empresa a realizar una subcontratación de la mayor parte del trabajo y a contar con una gran plantilla de ensamblaje. Decisiones que deben estar muy medidas para disponer del espacio suficiente, y no tener gran cantidad de producto fabricado y almacenado.

1 de 3









Resultados finales

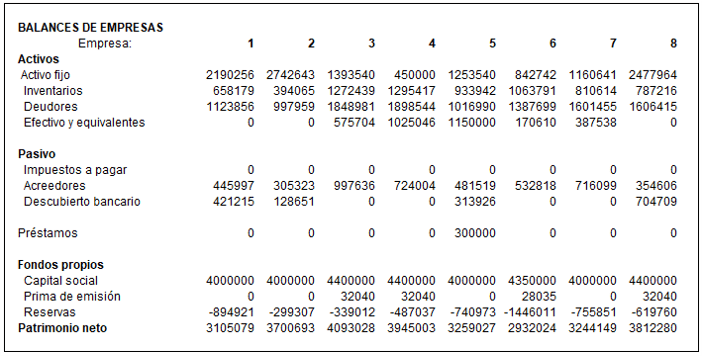
En un mercado en clara recesión en el que todas las empresas participantes han tenido pérdidas acumuladas de varios cientos de miles de euros, consiguió ganar el equipo directivo con mejor capacidad para limitar las pérdidas. Su estrategia de volumen tuvo éxito entre otros motivos porque nadie tomó la misma estrategia y les permitió obtener una alta cuota de mercado.

Es interesante revisar las empresas 4 y 8, que obtuvieron la 2º y 3º plaza en la final, con estrategias muy dispares, como se puede observar en el número de trabajadores, en la política de precios o en el saldo de deudores.



Llegados a este punto puede interesarte conocer otros ejemplos de equipos que fueron campeones nacionales Aquí tienes enlaces al equipo Dynamic en 2012 y al equipo Ingenios Industriales en 2014.

The post Campeón Nacional 2017 – Un ejemplo de Gestión en GMC appeared first on DYNAMIC.

Fuente: este post proviene de Dynamic | Formación empresarial, información econó, donde puedes consultar el contenido original.
¿Vulnera este post tus derechos? Pincha aquí.
Creado:
¿Qué te ha parecido esta idea?

Esta idea proviene de:

Y estas son sus últimas ideas publicadas:

Recomendamos